培训信息
当前位置: 首页 >> 培训信息 >> 正文

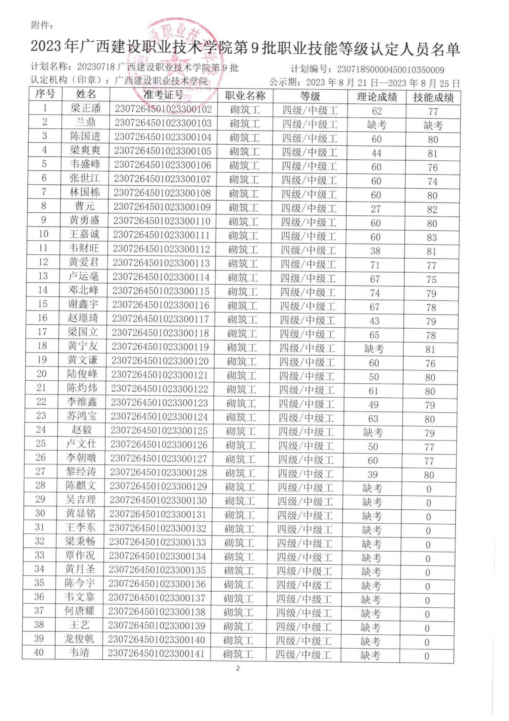
2023年完美网页版第9批职业技能等级认定人员成绩公示

发布日期:2023-08-21    点击:


完美网页版  版权所有 桂ICP备05014267号

完美网页版信息中心  技术支持