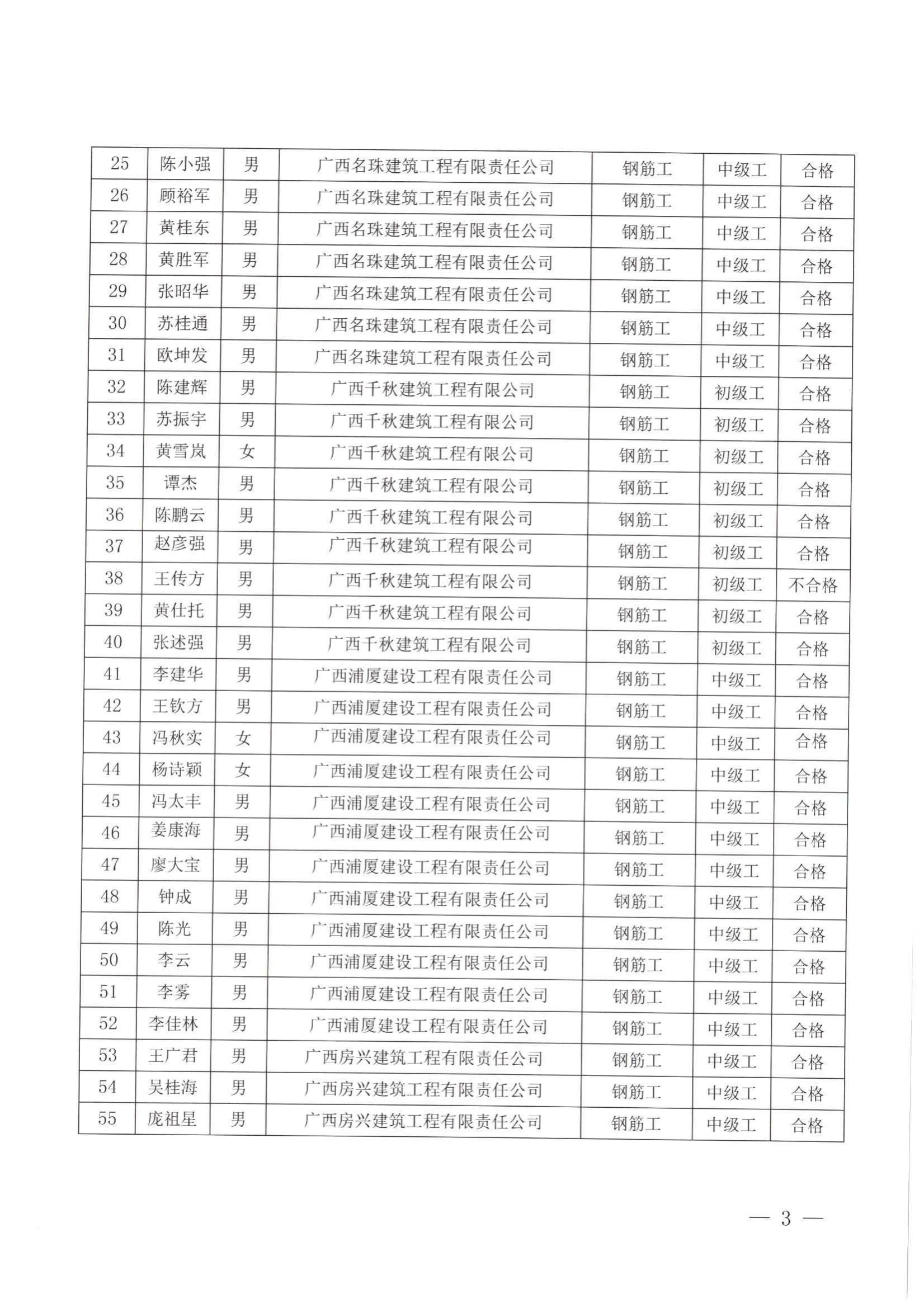
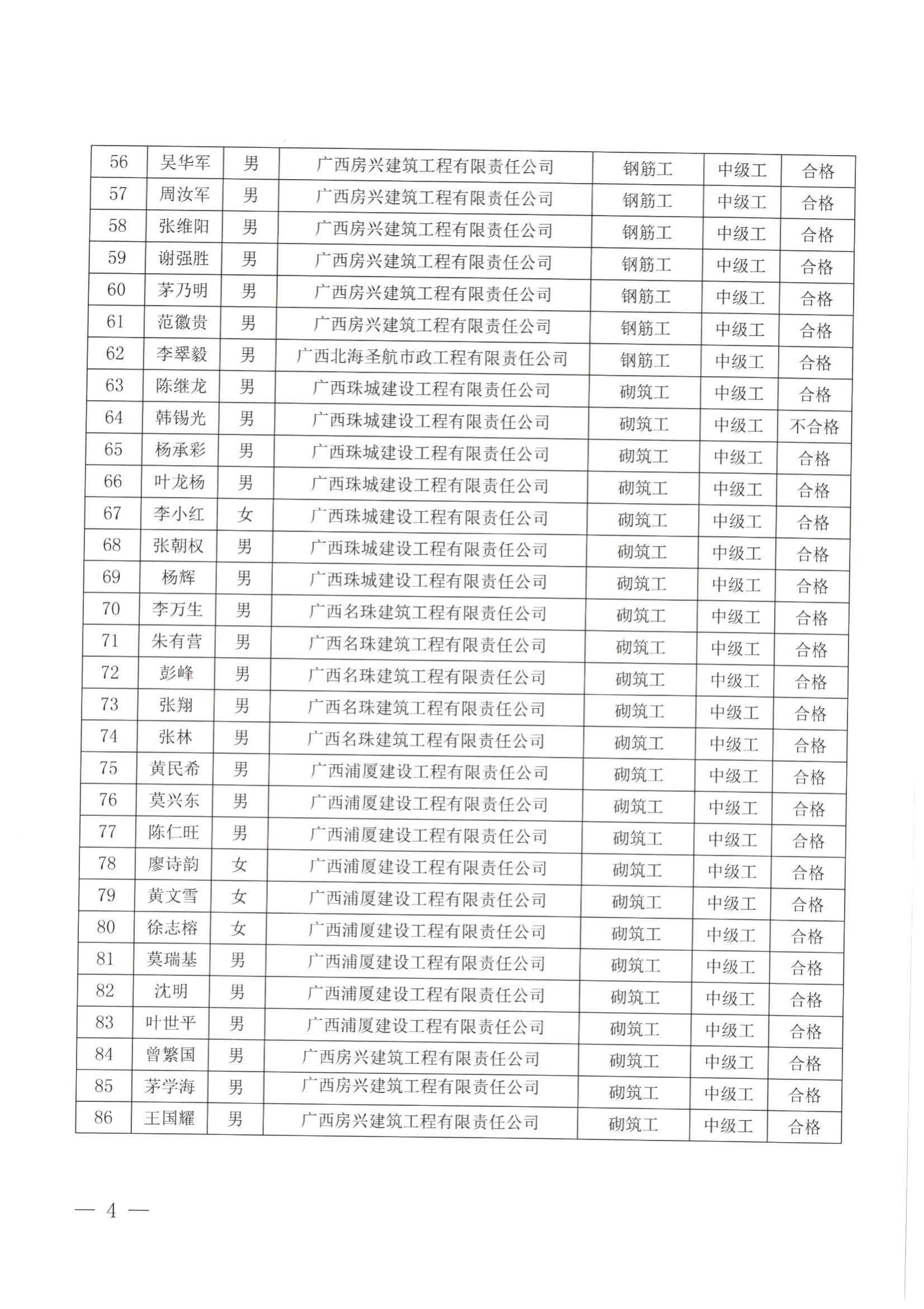
成绩公示 当前位置: 首页 >> 成绩公示 >> 正文 关于完美网页版2023年全区建筑产业工人第23期(北海市第1期)培训考核成绩的公示 发布日期:2024-01-23 点击: 附件【关于完美网页版2023年全区建筑产业工人第23期(北海市第1期)培训考核成绩的公示.pdf】已下载次